Awantura o algorytm: zdanie matematyków resortu
Wspólnie z Kancelarią Janiszewski odnaleźliśmy błąd w algorytmie załączonym do do przepisów wykonawczych do ustawy sieciowej. Ze wzoru wynika, że premiowane finansowo będą szpitale, które zwijać będą działalność w tempie 10 proc. Ministerstwo nie zgadza się z naszymi wyliczeniami. Prezentujemy ich odpowiedź.
Przeprowadziliśmy symulację, co się stanie gdy współczynniki zadziałają i jak wyglądać będzie przyszły ryczałt, gdy szpitale zaczną udzielać większej liczby świadczeń, a co gdy mniejszą. - I oczom nie mogliśmy uwierzyć. Bo choć zdrowy rozsądek nakazywałby zwiększać ryczałt najbardziej pracowitym szpitalom, algorytm premiuje te, które działalność będą ograniczać – mówi Rafał Janiszewski, właściciel kancelarii. A preferowane tempo zwijania aktywności to 10 proc. rocznie.
Argumenty przedstawiliśmy w tekście: "Czy w ustawę o sieci wmontowany jest mechanizm wygaszający leczenie szpitalne".
Ministerstwo odpowiedziało na nasz materiał. Odpowiedź poniżej – bez skrótów i znaków redakcyjnych
Milena Kruszewska, rzecznik Ministerstwa Zdrowia:
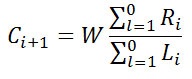
- Analizując wyliczenia przedstawione przez Kancelarię Doradczą Rafał Piotr Janiszewski należy domniemywać, że oparte są na błędnym założeniu dotyczącym obliczenia ceny jednostki sprawozdawczej Ci+1. Cena ta jest wyznaczana według wzoru:

Nie jest więc dopuszczalne skrócenie symbolu ∑, zawartego w liczniku i mianowniku ilorazu, czego prawdopodobnie dokonali autorzy wyliczeń, albowiem powyższy zapis oznacza odpowiednio:
- w liczniku – sumę ryczałtów wszystkich świadczeniodawców;
- w mianowniku – sumę liczb jednostek rozliczeniowych wykonanych i sprawozdanych przez wszystkich świadczeniodawców.
Wartość Ci+1 jest wyliczana jednorazowo i jest identyczna dla każdego świadczeniodawcy. W tej sytuacji niedopuszczalne jest skrócenie samego symbolu, które otwiera drogę do dalszych redukcji, czego ostatecznym efektem jest wykres, przedstawiony przez Kancelarię na portalu Termedia.pl.
Druga ewentualnością jest przyjęcie przez ekspertów Kancelarii założenia, że wszyscy świadczeniodawcy obniżą liczbę udzielonych świadczeń (wyrażoną w punktach) o 10% lub nastąpi globalne obniżenie liczby świadczeń o tę wartość w okresie rozliczeniowym. Skutkowałoby to arytmetycznym podwyższeniem ceny Ci+1, a w konsekwencji także możliwym wzrostem ryczałtów. To z kolei miałoby wpływ na poziom wydatków płatnika. W takim przypadku jednak korygujący wpływ będzie miał wskaźnik dynamiki wysokość środków finansowych zaplanowanych na finansowanie świadczeń w formie ryczałtu systemu zabezpieczenia (W). Tym niemniej należy założyć, że zaistnienie takiej sytuacji jest bardzo mało prawdopodobne.
W związku z powyższym nieuzasadnione są interpretacje wykresu, według których maksymalna wartość ryczałtu występuje przy realizacji przez konkretnego świadczeniodawcę świadczeń na poziomie 90% wartości z poprzedniego okresu rozliczeniowego.
Zależność pomiędzy poziomem ryczałtu na kolejny okres rozliczeniowy, a realizacją świadczeń w poprzednim okresie ma charakter liniowy w ustalonych przedziałach, co oznacza że można ją przedstawić na wykresie w formie ciągłej linii łamanej składającej się z odcinków o różnym nachyleniu.
Prawidłowy kształt wykresu, przy założeniu niezmienności Ci+1, przedstawia poniższa ilustracja:

Ponieważ zależność jest stale rosnąca realizacja świadczeń powyżej 100% zawsze skutkuje względnym wzrostem ryczałtu w kolejnym okresie rozliczeniowym, a niższe wykonanie odpowiednio niższym ryczałtem.
Kancelaria odpowiedziała na pismo resortu. Czytaj: Awantura o algorytm: zdanie krytyków
Argumenty przedstawiliśmy w tekście: "Czy w ustawę o sieci wmontowany jest mechanizm wygaszający leczenie szpitalne".
Ministerstwo odpowiedziało na nasz materiał. Odpowiedź poniżej – bez skrótów i znaków redakcyjnych
Milena Kruszewska, rzecznik Ministerstwa Zdrowia:
- Analizując wyliczenia przedstawione przez Kancelarię Doradczą Rafał Piotr Janiszewski należy domniemywać, że oparte są na błędnym założeniu dotyczącym obliczenia ceny jednostki sprawozdawczej Ci+1. Cena ta jest wyznaczana według wzoru:

Nie jest więc dopuszczalne skrócenie symbolu ∑, zawartego w liczniku i mianowniku ilorazu, czego prawdopodobnie dokonali autorzy wyliczeń, albowiem powyższy zapis oznacza odpowiednio:
- w liczniku – sumę ryczałtów wszystkich świadczeniodawców;
- w mianowniku – sumę liczb jednostek rozliczeniowych wykonanych i sprawozdanych przez wszystkich świadczeniodawców.
Wartość Ci+1 jest wyliczana jednorazowo i jest identyczna dla każdego świadczeniodawcy. W tej sytuacji niedopuszczalne jest skrócenie samego symbolu, które otwiera drogę do dalszych redukcji, czego ostatecznym efektem jest wykres, przedstawiony przez Kancelarię na portalu Termedia.pl.
Druga ewentualnością jest przyjęcie przez ekspertów Kancelarii założenia, że wszyscy świadczeniodawcy obniżą liczbę udzielonych świadczeń (wyrażoną w punktach) o 10% lub nastąpi globalne obniżenie liczby świadczeń o tę wartość w okresie rozliczeniowym. Skutkowałoby to arytmetycznym podwyższeniem ceny Ci+1, a w konsekwencji także możliwym wzrostem ryczałtów. To z kolei miałoby wpływ na poziom wydatków płatnika. W takim przypadku jednak korygujący wpływ będzie miał wskaźnik dynamiki wysokość środków finansowych zaplanowanych na finansowanie świadczeń w formie ryczałtu systemu zabezpieczenia (W). Tym niemniej należy założyć, że zaistnienie takiej sytuacji jest bardzo mało prawdopodobne.
W związku z powyższym nieuzasadnione są interpretacje wykresu, według których maksymalna wartość ryczałtu występuje przy realizacji przez konkretnego świadczeniodawcę świadczeń na poziomie 90% wartości z poprzedniego okresu rozliczeniowego.
Zależność pomiędzy poziomem ryczałtu na kolejny okres rozliczeniowy, a realizacją świadczeń w poprzednim okresie ma charakter liniowy w ustalonych przedziałach, co oznacza że można ją przedstawić na wykresie w formie ciągłej linii łamanej składającej się z odcinków o różnym nachyleniu.
Prawidłowy kształt wykresu, przy założeniu niezmienności Ci+1, przedstawia poniższa ilustracja:

Ponieważ zależność jest stale rosnąca realizacja świadczeń powyżej 100% zawsze skutkuje względnym wzrostem ryczałtu w kolejnym okresie rozliczeniowym, a niższe wykonanie odpowiednio niższym ryczałtem.
Kancelaria odpowiedziała na pismo resortu. Czytaj: Awantura o algorytm: zdanie krytyków
Źródło:
BL
BL